Catálogo
- Principal
- Bombas para el hogar y el jardínAcumuladores hidráulicosBombas diesel y gasolinaDrenaje y bombas fecalesRepuestos para bombasEstaciones de bombeobombas de piscinaBombas de aumento de presiónBombas para pozos y pozosBombas de fuenteBombas de circulación para calefacciónBombas de superficieBombas semisumergiblesConsolas, automatización
- Bombas de circulación para calefacción
- Насос циркуляционный электронный Beta 32-80/180 для отопления
Насос циркуляционный электронный Beta 32-80/180 для отопления
Visión

Насосы этой серии – это электронные энергоэффективные насосы соответствуют классу А. Индекс энергоэффективности насоса EEI<=0,23.
В корпус насоса встроен электронный процессор, который способен регулировать частоту вращения вала, а также подстраиваться под потребности системы отопления.
В зависимости от версии корпус насоса может быть выполнен из чугуна или бронзы. Насосы серии BETA снабжены функцией AUTOadapt и функцией „ночной режим”. Все насосы комплектуются кабелем с вилкой.
К заказу доступны насосы, имеющие монтажную длину 130 и 180 мм.
Características
| Manufacturero | IBO |
| Potencia, kilovatios | 0,06 |
| El diámetro de la tubería de entrada | G 1" |
| El diámetro de la tubería de salida | G 1" |
| Grado de protección | IP44 |
| Fuente de alimentación | 1х220 V, 50 Hz |
| Seguridad contra explosiones | No |
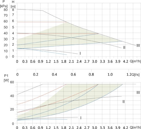
| Productividad (máx), metros cúbicos por hora | 4.2 |
| Temperatura (máx.), С | 100 |
| Altura de suministro (max), m.agua st | 8 |
| Material de la carcasa | hierro fundido |
| Material del impulsor | tecnopolímero |
| País natal | Polonia |
| Tipo de bomba | con un rotor mojado |
| Tipo de unidad | eléctrico |
| Datos logísticos: | |
| Peso, kg | 1,8 |
Productos de la misma categoría
774513
Sólo pedido anticipado
774533
Sólo pedido anticipado








































































































































