Katalog
Mehr Kategorien
- Hauptsächlich
- Industriepumpen
- Pumpen nach TypFasspumpen VakuumpumpenVertikale HalbtauchpumpenSchraubenpumpenWirbelpumpenHermetische PumpenDispergiermittel-Emulgator, HomogenisatorDosierpumpenImpeller PumpenKanalisationsstationenAuslegerpumpenRotationspumpeMembranpumpenPneumatische Membran-TauchpumpenMehrstufige PumpenMonoblockpumpen aus GusseisenMotorpumpenMotormembranpumpenEx ATEX PumpeZapfwellenpumpeDoppelte EinlasspumpenInline-PumpenDrüsenlose PumpenAxialpumpenSchlauchpumpenDrehschieberpumpenKolbenpumpenHalbtauch-Fäkalien-EntwässerungspumpenTauchentwässerung und KotpumpenTauchschlammpumpenKolbenpumpenRollenpumpen Selbstansaugende PumpenHygienepumpenBohrlochpumpenMagnetpumpenspenderWasserversorgungs- und FeuerlöschstationenChemische MagnetpumpenKreiselpumpenZahnradpumpenIndustrielle Peristaltische Schlauchpumpen
- Auslegerpumpen
- Pumpe zum Pumpen wässriger Gelatinelösung QHS-100-7.5, AISI 316
Pumpe zum Pumpen wässriger Gelatinelösung QHS-100-7.5, AISI 316
Kaufen Sie auch mit diesem Produkt
1042539
Nur Vorbestellung
Dokumentation
Anleitung herunterladen, Katalog für Pumpe zum Pumpen wässriger Gelatinelösung QHS-100-7.5, AISI 316
Überblick

Die Pumpe wird zur allgemeinen Reinwasserproduktion, Oberflächenbehandlung, Lebensmittel- und Chemieindustrie eingesetzt. Der Pumpenkörper kann aus AISI304- oder AISI316-Stahl gefertigt werden, die Wellendichtungsart entspricht den chemischen Anforderungen. Der Hauptpumpenkörper besteht aus hochwertigen Materialien im Feingussverfahren und hat eine robuste und kompakte Bauweise. Produktvorteile: Einzigartige Technologie, geräuscharm, hocheffizient, korrosionsbeständig, lange Lebensdauer. Patentierte Technologie, CE- und SGS-Qualitätszertifizierung der Europäischen Union. Hohe Temperaturbeständigkeit, geeignet für viele Flüssigkeiten. Kreiselpumpe mit 4-poligem Motor zur Lösung des Problems des schnellen Temperaturanstiegs von Flüssigkeiten. Ausgestattet mit einem Leerlaufschutz, der bei Flüssigkeitsmangel eine Beschädigung der Wellendichtung durch Leerlauf der Pumpe verhindert. Sekundäre Energieeffizienz, Energieeinsparung und Umweltschutz (kundenspezifisch).
Eigenschaften
| Hersteller | Qeehua |
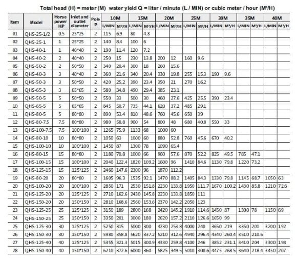
| Leistung, Kubikmeter/Stunde | 60 |
| Förderhöhe, mCE | 20 |
| Leistung, kW | 5,5 |
| Das Material | AISI 316 Rostfreier Stahl |
| Durchmesser des Einlassrohrs | DN100 |
| Durchmesser des Auslassrohrs | DN100 |
| Stromversorgung | 3x380V, 50Hz |
| Leistung (max), Kubikmeter/Stunde | 60 |
| Förderhöhe (max), mCE | 20 |
| Material der Welle | SSIC |
| Pumpen-Reihe | QHS |
| Herkunftsland | China |
| Pumpentyp | Konsole |
| Antriebsart | elektrisch |
| Installationstyp | horizontal |
| Art der Ausrüstung | mit Motor |
| Logistische Daten: |
Kategorien:AuslegerpumpenPumpen nach TypSalpetersäurepumpeSäurepumpenLaugenpumpenZentrifugale Chemiepumpen der Serie QHSChemiepumpen X, AX, XM, AXo, XMs

































































































































































