Каталог товарів
- Головна
- Насоси промислові
- Насоси за типомБочкові насоси Вакуумні насосиВертикальні напівзаглибні насосиГвинтові насосиВихрові насосиГерметичні насосиДиспергатор-емульгатор, гомогенізаторДозуючі насосиІмпелерні насосиКаналізаційні станціїКонсольні насосиКулачкові насосиМембранні насосиМембранні погружні пневматичні насосиБагатоступінчасті насосиМоноблочні насоси із чавунуМотопомпиМоторні мембранні насосиНасос Ex ATEXНасос з приводом від ВВПНасоси двостороннього входуНасоси конструкції «Інлайн»Насоси з мокрим роторомОсьові пропеллерні насосиПеристальтичні насосиПластинчато-роторні насосиПлунжерні насосиНапівзанурені фекальні, дренажні насосиЗанурювальні дренажно-фекальні насосиПогружні шламові насосиПоршневі насосиРоликові насоси Самовсмоктуючі насосиСанітарні, гігієнічні насосиСвердловинні насосиСоленоїдний насос дозаторСтанції водопостачання і пожежогасінняХімічні насоси з магнітною муфтоюВідцентрові насосиШестеренні насосиІндустріальні шлангові перистальтичні насоси
- Консольні насоси
- ATEX FL EX C170-4,1, 380V насос знято з виробництва
ATEX FL EX C170-4,1, 380V насос знято з виробництва
З цим товаром також купують
1042539
Тільки під замовлення
Документація
Скачати інструкцію, каталог для ATEX FL EX C170-4,1, 380V насос знято з виробництва
Огляд

Застосування насосу: очищення та очищення стічних вод, очищення та опріснення морської води, очищення води в текстильній, шкіряній і металургійній промисловості, перекачування термальних вод і на нафтохімічних заводах, промислові хімічні процеси.
Гідравлічна частина: поверхневий відцентровий моноблочний насос із закритим робочим колесом підходить для перекачування агресивних рідин і вуглеводнів без твердих частинок. Робоче колесо і корпус насоса виготовлені з нержавіючої сталі високої товщини AISI 304/316, що забезпечує більш високу механічну і корозійну стійкість. Корпус насоса відполірований зсередини і зовні для забезпечення найвищого рівня гігієни, а мала кількість зварних швів забезпечує більш високу гідравлічну ефективність і надійність. Одинарні механічні ущільнення. Доступна версія з подвійним ущільненням, придатна для обробки вуглецем (серія ID EX). Сертифікати ATEX II 2G Ex h IIC T3 Gb ATEX II 2D Ex h IIIC T120°C Db.
Двигун: асинхронний двигун ATEX, 50 Гц, 2 полюси серії FL EX a 2800 об/хв, 4 полюси серії FL EX B 1400 об / хв.; II 2G або II 2D захист; робоча напруга: трифазна 380V; температура навколишнього середовища: мінімум -20 °C-максимум + 40 °C.
Умови експлуатації: насоси не можуть працювати в сухих умовах; температура рідини, що перекачується: мінімум 0 °C-максимум + 120 °C; всі засоби захисту можуть бути обрані відповідно до інструкцій з експлуатації, що додаються до насоса, і умовами експлуатації, відповідно до діючих правил установки у вибухонебезпечному середовищі.
Аксесуари: панель управління; іскробезпечний модуль зі схемою живлення ATEX для електронного датчика рівня ATEX і регулятора рівня ATEX; регулятор рівня ATEX з електричним кабелем довжиною 5, 10 або 20 м; електронний датчик рівня ATEX (або ID ATEX); муфта мотор-насос з системою подвійного ущільнення з масляною камерою і тепловим захистом; каретка з нержавіючої сталі з струмопровідними колесами, перемикач ATEX в комплекті.
Характеристики
| Виробник | OFT Pumps |
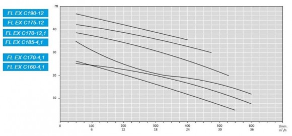
| Продуктивність, м.куб / год | 42 |
| Висота подачі, м.вод.ст | 24.6 |
| Потужність, кВт | 4 |
| Діaметр вхідного патрубка | 3" |
| Діаметр вихідного патрубка | 2 1/2" |
| Частота обертання, об/хв | 2 800 |
| Електроживлення | 3х380 V, 50 Hz |
| Вибухобезпека | так |
| Продуктивність (max), м.куб / год | 42 |
| Температура (max), С | 120 |
| Висота подачі (max), м.вод.ст | 24.6 |
| Серія насоса | FL EX C |
| Країна походження | Італія |
| Тип насосу | консольний |
| Тип приводу | електричний |
| Тип установки | горизонтальний |
| Гарантія, місяців | 12 |
| Логістичні дані: |
Категорії:Консольні насосиНасос Ex ATEXНасос Ex для зливу льяльних рідинНасос для вуглеводнівБар'єрний насос НПЗ забруднюючих речовинНасос Ex для біогазових станційНасос відкачування фільтрату свердловин забору газу ATEXНасос фільтрату забору та утилізації біогазуНасоси води видобувних свердловинТрюмний насос Ex сертифікат ATEX



























































































































































