Каталог товарів
- Головна
- Насоси промислові
- Насоси за типомБочкові насоси Вакуумні насосиВертикальні напівзаглибні насосиГвинтові насосиВихрові насосиГерметичні насосиДиспергатор-емульгатор, гомогенізаторДозуючі насосиІмпелерні насосиКаналізаційні станціїКонсольні насосиКулачкові насосиМембранні насосиМембранні погружні пневматичні насосиБагатоступінчасті насосиМоноблочні насоси із чавунуМотопомпиМоторні мембранні насосиНасос Ex ATEXНасос з приводом від ВВПНасоси двостороннього входуНасоси конструкції «Інлайн»Насоси з мокрим роторомОсьові пропеллерні насосиПеристальтичні насосиПластинчато-роторні насосиПлунжерні насосиНапівзанурені фекальні, дренажні насосиЗанурювальні дренажно-фекальні насосиПогружні шламові насосиПоршневі насосиРоликові насоси Самовсмоктуючі насосиСанітарні, гігієнічні насосиСвердловинні насосиСоленоїдний насос дозаторСтанції водопостачання і пожежогасінняХімічні насоси з магнітною муфтоюВідцентрові насосиШестеренні насосиІндустріальні шлангові перистальтичні насоси
- Консольні насоси
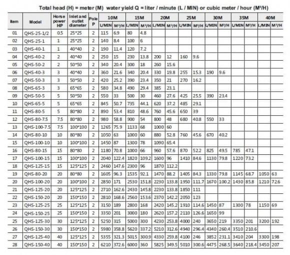
- Перекачування рідкого пропану насос QHS-40-2, AISI 316
Перекачування рідкого пропану насос QHS-40-2, AISI 316
З цим товаром також купують
1042539
Тільки під замовлення
Документація
Скачати інструкцію, каталог для Перекачування рідкого пропану насос QHS-40-2, AISI 316
Огляд

Насос застосовується для виробництва чистої води загального призначення, обробки поверхонь, харчової промисловості та хімічної промисловості. Корпус насосу може бути виготовлений зі сталі AISI304 або AISI316, тип ущільнення валу відповідно до хімічних вимог. Основний корпус насоса виготовлений з високоякісних матеріалів методом точного лиття, має міцну і компактну конструкцію.
Перевага продукту: Унікальна технологія, низький рівень шуму, висока ефективність, стійкість до корозії, тривалий термін служби. Запатентована технологія, сертифікація якості CE, SGS Європейського Союзу. Висока термостійкість, підходить для багатьох видів рідини. Відцентровий насос з 4-полюсним двигуном для вирішення проблеми швидкого підвищення температури рідини. Оснащений пристроєм захисту від холостого ходу, який може запобігти пошкодженню ущільнення валу через холостий хід насоса в разі нестачі рідини. Вторинна енергоефективність, енергозбереження та захист навколишнього середовища (індивідуальні).
Характеристики
| Виробник | Qeehua |
| Продуктивність, м.куб / год | 13.8 |
| Висота подачі, м.вод.ст | 15 |
| Потужність, кВт | 1,5 |
| Матеріал | AISI 316 нержавіюча сталь |
| Діaметр вхідного патрубка | DN40 |
| Діаметр вихідного патрубка | DN40 |
| Електроживлення | 3х380 V, 50 Hz |
| Продуктивність (max), м.куб / год | 13.8 |
| Висота подачі (max), м.вод.ст | 15 |
| Матеріал вала | SSIC |
| Серія насоса | QHS |
| Країна походження | Китай |
| Тип насосу | консольний |
| Тип приводу | електричний |
| Тип установки | горизонтальний |
| Тип комплектації | з двигуном |
| Логістичні дані: |
Категорії:Консольні насосиНасоси за типомНасос для азотної кислотиНасоси для кислотиНасоси для лугуВідцентрові хімічні насоси серії QHSНасоси хімічні Х,АХ,ХМ,АХо,ХМс
Товари з цієї категорії
1036807
Тільки під замовлення
1036809
Тільки під замовлення
1036812
Тільки під замовлення

































































































































































