Каталог товарів
- Головна
- Насоси промислові
- Насоси за типомБочкові насоси Вакуумні насосиВертикальні напівзаглибні насосиГвинтові насосиВихрові насосиГерметичні насосиДиспергатор-емульгатор, гомогенізаторДозуючі насосиІмпелерні насосиКаналізаційні станціїКонсольні насосиКулачкові насосиМембранні насосиМембранні погружні пневматичні насосиБагатоступінчасті насосиМоноблочні насоси із чавунуМотопомпиМоторні мембранні насосиНасос Ex ATEXНасос з приводом від ВВПНасоси двостороннього входуНасоси конструкції «Інлайн»Насоси з мокрим роторомОсьові пропеллерні насосиПеристальтичні насосиПластинчато-роторні насосиПлунжерні насосиНапівзанурені фекальні, дренажні насосиЗанурювальні дренажно-фекальні насосиПогружні шламові насосиПоршневі насосиРоликові насоси Самовсмоктуючі насосиСанітарні, гігієнічні насосиСвердловинні насосиСоленоїдний насос дозаторСтанції водопостачання і пожежогасінняХімічні насоси з магнітною муфтоюВідцентрові насосиШестеренні насосиІндустріальні шлангові перистальтичні насоси
- Занурювальні дренажно-фекальні насоси
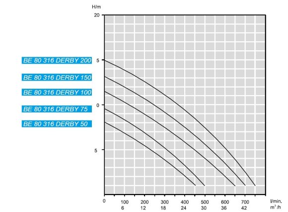
- Дренажний погружний насос BE 80 316 DERBY 150, 380V
Дренажний погружний насос BE 80 316 DERBY 150, 380V
З цим товаром також купують
1042539
Тільки під замовлення
Документація
Скачати інструкцію, каталог для Дренажний погружний насос BE 80 316 DERBY 150, 380V
Огляд

Застосування насосу OFT Pumps серії BE 80 316 DERBY: перекачування забрудненої рідини, збір фільтрату, підйом рідини зі свердловин та резервуарів, забрудненої навіть вуглеводнями та стічними водами, викачка конденсаційних колодязів, перекачування забруднених стічних вод. Насоси не можна встановлювати в потенційно вибухонебезпечних середовищах.
Особливості: відкрите робоче колесо з нержавіючої сталі AISI 316 SS для уникнення засмічення рідиною, фільтратом звалищ та іншими дрібними твердими тілами. Ущільнення виготовлене з фторкаучука (Viton). Вал і корпус двигуна з нержавіючої сталі AISI 316. Електричні насоси виробляються з електричним кабелем ID 4G1,5 довжиною 5 м у комплекті.
Двигун: 2-полюсний асинхронний двигун, 50 Гц, 2850 об/хв. Ізоляція класу F. Захист IP68. Електродвигун охолоджується нетоксичною, екологічно чистою рідиною. Двигун захищений термовимикачами, стійкими до температур до 80°C.
Умови експлуатації: Насос не може працювати на суху. Корпус насоса завжди повинен бути повністю занурений у рідину. Температура рідини, що перекачується, мінімум 0°C, максимум 80°C. Вертикальне робоче положення. Максимальна кількість запусків на годину: 20.
Аксесуари: панель управління, регулятор рівня, BE електронний датчик рівня, ID 4G1, 5 круглий кабель.
Характеристики
| Виробник | OFT Pumps |
| Продуктивність, м.куб / год | 42 |
| Висота подачі, м.вод.ст | 13.1 |
| Потужність, кВт | 1,1 |
| Матеріал | AISI 316 нержавіюча сталь |
| Діаметр вихідного патрубка | 2" |
| Частота обертання, об/хв | 2 850 |
| Ступінь захисту | IP68 |
| Електроживлення | 3х380 V, 50 Hz |
| Вибухобезпека | ні |
| Продуктивність (max), м.куб / год | 42 |
| Довжина кабелю, м | 5 |
| Температура (max), С | 80 |
| Габарити, мм | 505x250 |
| Ущільнення | VITON |
| Висота подачі (max), м.вод.ст | 13.1 |
| Матеріал робочого колеса | AISI 316 нержавіюча сталь |
| Матеріал вала | AISI 316 нержавіюча сталь |
| Серія насоса | BE 80 DERBY |
| Країна походження | Італія |
| Тип насосу | погружний дренажно-фекальний |
| Тип приводу | електричний |
| Тип установки | вертикальний |
| Гарантія, місяців | 12 |
| Логістичні дані: | |
| Вага, кг | 21,5 |





























































































































































