Каталог товаров
- Главная
- Насосы промышленные
- Насосы по типуБочковые насосыВакуумные насосыВертикальные полупогружные насосыВинтовые насосыВихревые насосыГерметичные насосыДиспергатор - эмульгатор гомогенизаторДозирующие насосыИмпеллерные насосыКанализационные станцииКонсольные насосыКулачковые насосыМембранные диафрагменные пневматические насосыМембранные погружные пневматические насосыМногоступенчатые насосыМоноблочные насосы из чугунаМотопомпыМоторные мембранные насосыНасос Ex ATEXНасос с приводом от ВОМНасосы двустороннего входаНасосы конструкции «Инлайн»Насосы с мокрым роторомОсевые пропеллерные насосыПеристальтические шланговые насосыПластинчато-роторные насосыПлунжерные насосыПоверхностные дренажно-фекальные насосыПогружные дренажно-фекальные насосыПогружные шламовые насосыПоршневые насосыРоликовый насосСамовсасывающие насосыСанитарные, гигиенические насосыСкважинные насосыСоленоидный насос дозаторСтанции водоснабжения и пожаротушенияХимические насосы с магнитной муфтойЦентробежные насосыШестеренные насосыИндустриальные шланговые перистальтические насосы
- Консольные насосы
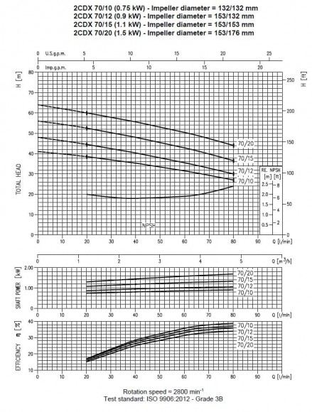
- Насос Ebara 2CDX 70/15, 380V
Насос Ebara 2CDX 70/15, 380V
С этим товаром также покупают
Обзор

Центробежные насосы Ebara с двумя рабочими колесами с гидравлическими компонентами, которые изготовлены из нержавеющей стали AISI 304 (на заказ AISI 316).
Применение: водоподготовка; фильтрация; промышленные мойки; повышение давления; промышленное оборудование; отопление и кондиционирование; охлаждение и холодильные системы; ирригация; перекачивание умеренно агрессивных жидкостей.
Технические данные: производительность до 14,4 м3/ч; высота подачи до 75 м; T.E.F.C. 2 полюсный двигатель; класс изоляции F; степень защиты IP 55; однофазные 220V, 50 Hz, трехфазные 380V, 50 Hz; встроенный конденсатор и автоматическая защита от тепловой перегрузки для однофазной версии. Для трехфазной версии защиту от тепловой перегрузки должен обеспечить потребитель. Входной патрубок 1 "1/2 для2CDX200, 1" 1/4 для других моделей. Выходной патрубок 1"
Характеристики
| Производитель | Ebara |
| Производительность, м.куб/час | 4.8 |
| Высота подачи, м.вод.ст | 52.5 |
| Мощность, кВт | 1,1 |
| Материал | AISI 304 нержавеющая сталь |
| Диаметр входного патрубка | G 1 1/4" |
| Диаметр выходного патрубка | G 1" |
| Частота вращения, об/мин | 2 800 |
| Степень защиты | IP55 |
| Электропитание | 3х380 V, 50 Hz |
| Взрывозащита | нет |
| Высота подачи (max), м.вод.ст | 52.5 |
| Производительность (max), м.куб/час | 4.8 |
| Температура (max), С | 60 |
| Уплотнение | Mechanical Seal, Carbon/Ceramic/NBR |
| Материал корпуса | AISI 304 нержавеющая сталь |
| Материал проточной части | AISI 304 нержавеющая сталь |
| Материал рабочего колеса | AISI 304 нержавеющая сталь |
| Материал вала | AISI 304 нержавеющая сталь |
| Серия насоса | 2CDX |
| Страна происхождения | Италия |
| Тип насоса | консольный |
| Тип привода | электрический |
| Тип установки | горизонтальный |
| Применение | CIP-промывки, аммиачной смеси, браги, бражки, вина, воды, градирни, жидких удобрений, КАС, каустика, ледяной воды, молока, мочевины, оборотного водоснабжения, отопления, пищевых продуктов, повышения давления, полива, селевого раствора, соков, соли, сусла, сушильной камеры, сушки, сыроватки |
| Логистические данные: | |
| Вес, кг | 17 |
Категории:Консольные насосыЦентробежные поверхностные насосы CDX, 2CDX































































































































































