Каталог товаров
- Главная
- Насосы промышленные
- Насосы по типуБочковые насосыВакуумные насосыВертикальные полупогружные насосыВинтовые насосыВихревые насосыГерметичные насосыДиспергатор - эмульгатор гомогенизаторДозирующие насосыИмпеллерные насосыКанализационные станцииКонсольные насосыКулачковые насосыМембранные диафрагменные пневматические насосыМембранные погружные пневматические насосыМногоступенчатые насосыМоноблочные насосы из чугунаМотопомпыМоторные мембранные насосыНасос Ex ATEXНасос с приводом от ВОМНасосы двустороннего входаНасосы конструкции «Инлайн»Насосы с мокрым роторомОсевые пропеллерные насосыПеристальтические шланговые насосыПластинчато-роторные насосыПлунжерные насосыПоверхностные дренажно-фекальные насосыПогружные дренажно-фекальные насосыПогружные шламовые насосыПоршневые насосыРоликовый насосСамовсасывающие насосыСанитарные, гигиенические насосыСкважинные насосыСоленоидный насос дозаторСтанции водоснабжения и пожаротушенияХимические насосы с магнитной муфтойЦентробежные насосыШестеренные насосыИндустриальные шланговые перистальтические насосы
- Консольные насосы
- ATEX FL EX C175-12, 380V насос снят с производства
ATEX FL EX C175-12, 380V насос снят с производства
С этим товаром также покупают
Документация
Скачать инструкцию, каталог для ATEX FL EX C175-12, 380V насос снят с производства
Обзор

Применение насоса: очистка сточных вод, очистки и опреснения морской воды, очистки воды в текстильной, кожевенной и металлургической промышленности, перекачки термальных вод и на нефтехимических заводах, промышленные химические процессы.
Гидравлическая часть: поверхностный центробежный моноблочный насос с закрытым рабочим колесом подходит для перекачки агрессивных жидкостей и углеводородов без твердых частиц. Рабочее колесо и корпус насоса изготовлены из нержавеющей стали высокой толщины AISI 304/316, что обеспечивает более высокую механическую и коррозионную стойкость. Корпус насоса отполирован изнутри и снаружи для обеспечения высочайшего уровня гигиены, а малое количество сварных швов обеспечивает более высокую гидравлическую эффективность и надежность. Одинарные механические уплотнения. Доступна версия с двойным уплотнением, пригодная для обработки углеродом (серия ID EX). Сертификаты ATEX II 2G Ex H IIC T3 Gb ATEX II 2D Ex h IIIC T120°C Db.
Двигатель: асинхронный двигатель ATEX, 50 Гц, 2 полюса серии FL EX a 2800 об/мин, 4 полюса серии FL EX B 1400 об / мин.; II 2G или II 2D защиту; рабочее напряжение: трехфазное 380V; температура окружающей среды: минимум -20 °C максимум + 40 °C.
Условия эксплуатации: насосы не могут работать в сухих условиях; температура перекачиваемой жидкости: минимум 0 °C максимум + 120 °C; все средства защиты могут быть выбраны в соответствии с инструкциями по эксплуатации, которые прилагаются к насосу, и условиями эксплуатации, согласно действующих правил установки во взрывоопасной среде.
Аксессуары: панель управления; искробезопасный модуль со схемой питания ATEX для электронного датчика уровня ATEX и регулятора уровня ATEX; регулятор уровня ATEX с электрическим кабелем длиной 5, 10 или 20 м; электронный датчик уровня ATEX (или ID ATEX); муфта мотор-насос с системой двойного уплотнения с масляной камерой и тепловой защитой; каретка из нержавеющей стали с токопроводящими колесами, переключатель ATEX в комплекте.
Характеристики
| Производитель | OFT Pumps |
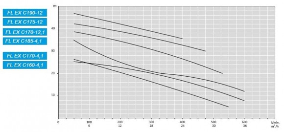
| Производительность, м.куб/час | 24 |
| Высота подачи, м.вод.ст | 42 |
| Мощность, кВт | 5,5 |
| Диаметр входного патрубка | 4" |
| Диаметр выходного патрубка | 4" |
| Частота вращения, об/мин | 2 800 |
| Электропитание | 3х380 V, 50 Hz |
| Взрывозащита | да |
| Высота подачи (max), м.вод.ст | 42 |
| Производительность (max), м.куб/час | 24 |
| Температура (max), С | 120 |
| Серия насоса | FL EX C |
| Страна происхождения | Италия |
| Тип насоса | консольный |
| Тип привода | электрический |
| Тип установки | горизонтальный |
| Гарантия, месяцев | 12 |
| Логистические данные: |
Категории:Консольные насосыНасос Ex ATEXНасос Ex для слива льяльных жидкостейНасос для углеводородовБарьерный насос НПЗ загрязняющих веществНасос Ex для биогазовых станцийНасос откачки фильтрата скважин забора газа ATEXНасос фильтрата забора и утилизации биогазаНасосы воды добывающих скважинТрюмный насос Ex сертификат ATEX



























































































































































