Каталог товаров
- Главная
- Насосы промышленные
- Насосы по типуБочковые насосыВакуумные насосыВертикальные полупогружные насосыВинтовые насосыВихревые насосыГерметичные насосыДиспергатор - эмульгатор гомогенизаторДозирующие насосыИмпеллерные насосыКанализационные станцииКонсольные насосыКулачковые насосыМембранные диафрагменные пневматические насосыМембранные погружные пневматические насосыМногоступенчатые насосыМоноблочные насосы из чугунаМотопомпыМоторные мембранные насосыНасос Ex ATEXНасос с приводом от ВОМНасосы двустороннего входаНасосы конструкции «Инлайн»Насосы с мокрым роторомОсевые пропеллерные насосыПеристальтические шланговые насосыПластинчато-роторные насосыПлунжерные насосыПоверхностные дренажно-фекальные насосыПогружные дренажно-фекальные насосыПогружные шламовые насосыПоршневые насосыРоликовый насосСамовсасывающие насосыСанитарные, гигиенические насосыСкважинные насосыСоленоидный насос дозаторСтанции водоснабжения и пожаротушенияХимические насосы с магнитной муфтойЦентробежные насосыШестеренные насосыИндустриальные шланговые перистальтические насосы
- Консольные насосы
- Перекачка чистого аминобензола, фениламина, анилина QHS-40-2, AISI 304
Перекачка чистого аминобензола, фениламина, анилина QHS-40-2, AISI 304
С этим товаром также покупают
Документация
Скачать инструкцию, каталог для Перекачка чистого аминобензола, фениламина, анилина QHS-40-2, AISI 304
Обзор

Насос используется для производства чистой воды общего назначения, обработки поверхностей, пищевой промышленности и химической промышленности. Корпус насоса может быть изготовлен из стали AISI304 или AISI316, тип уплотнения вала в соответствии с химическими требованиями. Основной корпус насоса изготовлен из высококачественных материалов методом точного литья, имеет прочную и компактную конструкцию. Преимущество продукта: Уникальная технология, низкий уровень шума, высокая эффективность, коррозионная стойкость, длительный срок службы. Запатентованная разработка, сертификация свойства CE, SGS Европейского Союза. Высокая термостойкость, подходит для многих видов жидкости. Центробежный насос с 4-полюсным двигателем для решения проблемы быстрого повышения температуры жидкости. Оснащен устройством защиты от холостого хода, которое может предотвратить повреждение уплотнения вала через холостой ход насоса в случае недостатка жидкости. Вторичная энергоэффективность, энергосбережение и защита окружающей среды (индивидуальные).
Характеристики
| Производитель | Qeehua |
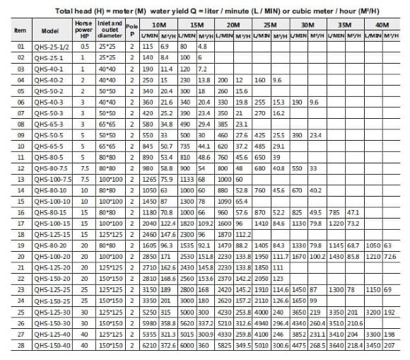
| Производительность, м.куб/час | 13.8 |
| Высота подачи, м.вод.ст | 15 |
| Мощность, кВт | 1,5 |
| Материал | AISI 304 нержавеющая сталь |
| Диаметр входного патрубка | DN40 |
| Диаметр выходного патрубка | DN40 |
| Электропитание | 3х380 V, 50 Hz |
| Высота подачи (max), м.вод.ст | 15 |
| Производительность (max), м.куб/час | 13.8 |
| Материал вала | SSIC |
| Серия насоса | QHS |
| Страна происхождения | Китай |
| Тип насоса | консольный |
| Тип привода | электрический |
| Тип установки | горизонтальный |
| Тип комплектации | с двигателем |
| Логистические данные: |
Категории:Консольные насосыНасосы по типуНасос для азотной кислотыНасосы для кислотыНасосы для щелочиЦентробежные химические насосы серии QHSНасосы химические Х,АХ,ХМ,АХо,ХМс

































































































































































