Catalog
Else categories
- Home
- Industrial pumps
- Pumps by typeBarrel pumps Vacuum pumpsVertical semi-submersible pumpsScrew pumpsVortex pumpsHermetic pumpsDispersant-emulsifier, homogenizerDosing pumpsImpeller pumpsSewer stationsCantilever pumpsLobe pumpsDiaphragm pumpsPneumatic diaphragm submersible pumpsMultistage pumpsCast iron monobloc pumpsMotor pumpsMotor diaphragm pumpsEx ATEX pumpPTO driven pumpDouble inlet pumpsInline pumpsGlandless pumpsAxial pumpsPeristaltic pumpsRotary vane pumpsPlunger pumpsSemi-submersible fecal, drainage pumpSubmersible drainage and fecal pumpsSubmersible slurry pumpsPiston pumpsRoller pumps Self-priming centrifgual pumpSanitary, hygienic pumpsBorehole pumpsSolenoid pump dispenserWater supply and fire extinguishing stationsChemical magnetic pumpsCentrifugal pumpsGear pumpsIndustrial hose peristaltic pumps
- Cantilever pumps
- Milk transfer pump QHS-125-15, AISI 304
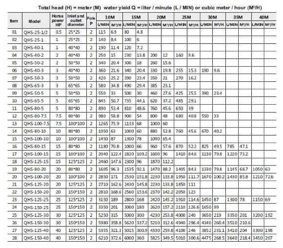
Milk transfer pump QHS-125-15, AISI 304
Also buy with this product
1042539
Pre-order only
Documentation
Download instructions, catalog for Milk transfer pump QHS-125-15, AISI 304
Overview

The pump is used for general purpose clean water production, surface treatment, food industry and chemical industry. The pump body can be made of AISI304 or AISI316 steel, the shaft seal type according to chemical requirements. The main pump body is made of high-quality materials by precision casting, with a strong and compact structure. Product advantage: Unique technology, low noise, high efficiency, corrosion resistance, long service life. Patented technology, European Union CE, SGS quality certification. High temperature resistance, suitable for many kinds of liquid. Centrifugal pump with 4-pole motor to solve the problem of rapid liquid temperature rise. Equipped with an idling protection device, which can prevent the shaft seal from being damaged due to the pump idling in the event of lack of liquid. Secondary energy efficiency, energy saving and environmental protection (customized).
Characteristics
| Producer | Qeehua |
| Pump capacity, m3/h | 112.2 |
| Feed height, m | 20 |
| Power capacity, kW | 11 |
| Material | AISI 304 stainless steel |
| Input pipe diameter | DN125 |
| Output pipe diameter | DN125 |
| Power supply | 3х380 V, 50 Hz |
| Max.flow rate, m3/h | 112.2 |
| Max. head, m | 20 |
| Shaft material | SSIC |
| Serial number of the pump | QHS |
| Country of Origin | China |
| PumpType | console |
| Drive Type | electric |
| Installation Type | horizontal |
| Type of configuration | with engine |
| Logistics data: |
Categories:Cantilever pumpsPumps by typeNitric acid pumpAcid pumpsLye pumpsQHS Series Centrifugal Chemical PumpsChemical pumps Х,АХ,ХМ,АХо,ХМс

































































































































































